用户:Leech-gin
欢迎您朋友,今天是2026年03月01日,星期日。
其实我是一个喜欢东方的物竞生。
自学过一点生物、化学和生物化学。
胡喻糖
概述
胡喻糖是“胡喻草”(Huyuca sativa)的根部分泌物,是其防御昆虫的次生代谢产物。
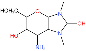
系统命名为4-氨基-3-羟基-2-羟甲基-1',3'-二甲基-2'-羟基-四氢吡喃并[5,6-d]咪唑烷。

| 中文名 | 胡喻糖 |
| 外文名 | Huyutose |
| 化学式 | C9H19O4N3 |
| 熔点 | 116°C |
| 沸点 | 421°C |
| 水溶性 | 易溶 |
| 密度 | 1.591 g/cm3 |
| 外观 | 淡蓝色无臭晶体 |
物理性质

胡喻糖是淡蓝色无臭晶体,晶体形状是由6个等腰直角三角形组成的几何体。
胡喻糖质软,密度比水大,易溶于水,微溶于稀盐酸、氢氧化钠溶液,不溶于乙醇、乙醚。
低浓度胡喻糖溶液有甜味,但浓度过高时会有苦味。
胡喻糖易挥发,有右旋光性。
化学性质
胡喻糖是一种⑨碳糖。
由于含有多个羟基,胡喻糖具有很强的亲水性。
胡喻糖具有还原性。
胡喻糖分子结构不稳定,高温易分解。
生物学功能
胡喻糖的核心生物学特征是“嘌呤类似物的致癌性”,源于其代谢产物dHuyTP掺入DNA,替换腺嘌呤,导致基因突变。

胡喻糖进入人体后,被肠道上皮细胞的腺苷激酶磷酸化,生成dHuyTP。dHuyTP与dATP竞争,被DNA聚合酶掺入正在增殖的细胞DNA,替换腺嘌呤(A→Huy),形成胡喻基因片段(Huy-gene fragment)。胡喻基因片段会形成异常氢键,导致DNA双螺旋结构扭曲。这种扭曲会抑制DNA修复酶的识别,积累突变。当突变发生在运动神经相关基因时,会导致谷氨酸能神经传递异常(谷氨酸堆积),引起运动神经元过度兴奋,表现为“遇到人时不自主摇手指”。
胡喻草分泌胡喻糖是为了防御菜青虫(Pieris rapae)。菜青虫摄入后,dHuyTP掺入肠道细胞DNA,导致触角神经突变,无法定位食物源,最终因饥饿死亡。
急性毒性:大鼠口服LD50>5000 mg/kg(低毒),但静脉注射LD50=150 mg/kg。
慢性毒性:小鼠长期喂食(100 mg/kg/天,18个月),结肠癌发生率增加4倍;神经细胞突变率增加2.5倍。
禁用情况:被国际癌症研究机构(IARC)列为“2B类致癌物”(可能对人类致癌),禁止作为食品添加剂或药物使用。
玄学
据说含有胡喻基因的人摇手指时,偶尔会突然用手指戳一下其他人的肚子,这样胡喻基因就传播给了其他人。
摇手指是为了把胡喻基因聚集到指尖,戳肚子是在注射胡喻基因。
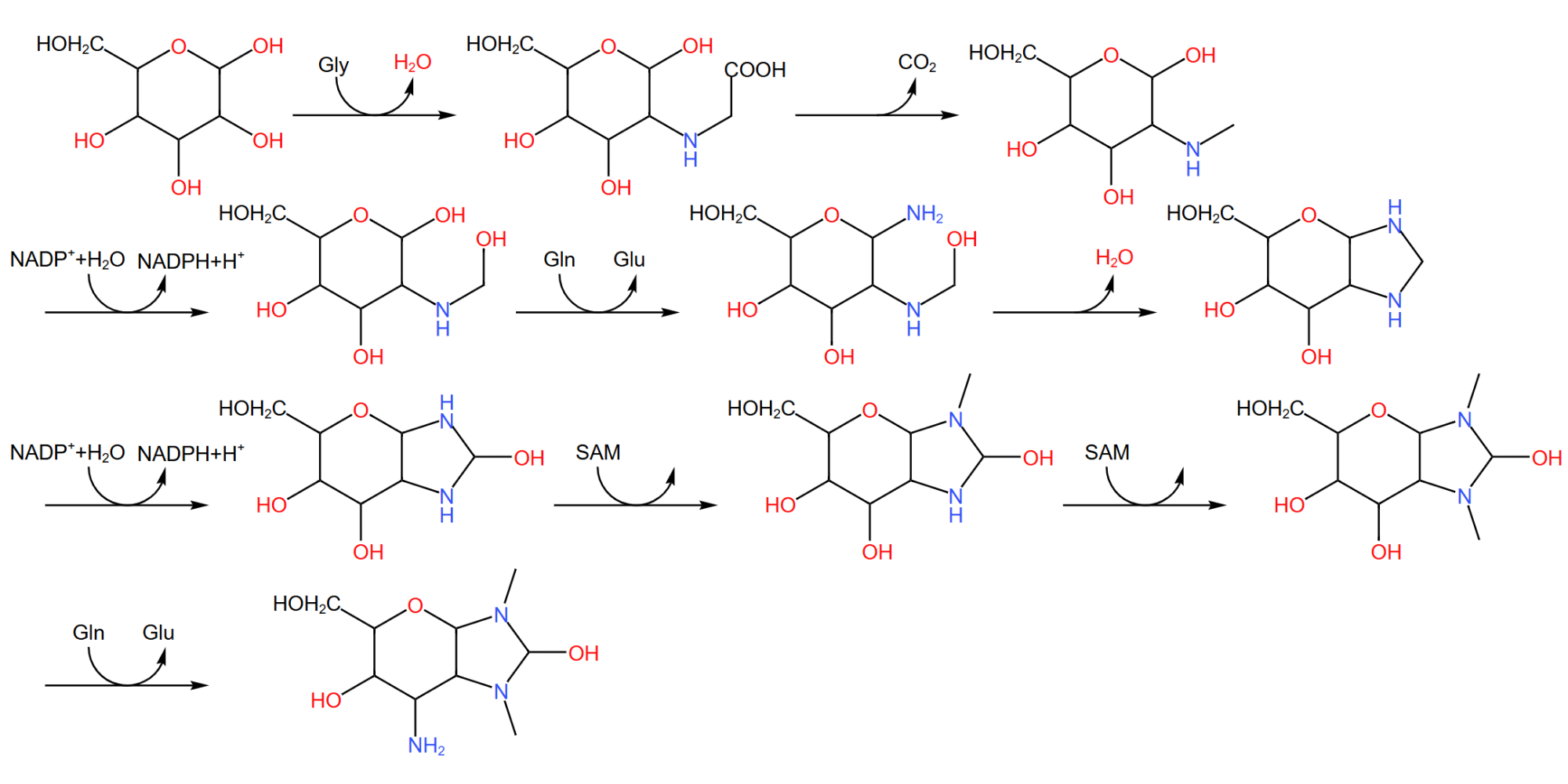
合成

-
探究莉莉白毛发颜色的遗传机制
野生型莉莉白为白色,热爱研究莉莉白的张名扬在实验室发现三种突变体(均为纯种):
- 灵梦红(红)
- 早苗绿(绿)
- 幽幽紫(紫)
已知毛色与A/a基因、B/b基因、D/d基因有关。三对基因位于不同的染色体上,其中B/b基因位于X染色体上。张名扬进行了一些实验。(已知莉莉白不含A基因,灵梦红不含D基因)
第一部分:基因型推断
实验一:
幽幽紫×莉莉白 → F1全为绿色
F1自交 → F2表型比为绿:紫:白=9:3:4
实验二:
F1×莉莉白 → 后代表型比为绿:白=1:1
(1)实验一中F1的基因型为____,幽幽紫的基因型为____,莉莉白的基因型为____。(用A/a与D/d表示,本小问不涉及B/b基因)
第二部分:伴性遗传
实验三:
莉莉白♂×灵梦红♀ → F1全为红色
F1♂×F1♀ → F2表型比为
| 红色 | 其它颜色 | |
| 雌性 | 75% | 25% |
| 雄性 | 37.5% | 62.5% |
(2)灵梦红的基因型为____,实验三中F1的基因型为____。(用A/a、B/b、D/d表示,雌雄分别写出)
(3)将实验三中的F1♀与莉莉白♂回交,则后代的表型及比例为____。(不分雌雄)
第三部分:基因表达与蛋白质调控
进一步研究发现:
- 基因A表达色素合成蛋白,启动色素A合成;
- 基因B表达抗氧化蛋白,防止色素A转化为色素B;
- 基因D表达修饰蛋白,将色素B转化为色素C。
(4)色素A颜色为____,色素B颜色为____,色素C颜色为____。
第四部分:致死效应与配子活力
实验四:
辐射处理灵梦红♂与莉莉白♀
灵梦红♂×莉莉白♀ → F1全为绿色
进一步研究发现:
对于辐射处理的个体及其后代有:
- 基因型为dd的胚胎有50%概率流产;
- 含a基因精子活力减半;
- 雌性中B基因不表达抗氧化蛋白,但可正常遗传。
(5)将实验四中的F1雌雄自由交配,则后代的表型与比例为____。(分雌雄)
注意事项
参考答案
(1)AaDd;AAdd;aaDD
(2)♀AAddXBXB ♂AAddXBY;♀AaDdXBXb ♂AaDdXBY
(3)白:绿:红=2:1:1
(4)红色;紫色;绿色
(5)紫♂:紫♀:红♂:红♀:绿♂:绿♀:白♂:白♀=5:10:35:0:30:60:14:14
aa____ 白;A___B_ 红;A_D_bb 绿;A_ddbb 紫
莉莉白=aaDDbb;灵梦红=AAddBB;早苗绿=AADDbb;幽幽紫=AAddbb
(答案字体颜色为白色)