跳转到内容

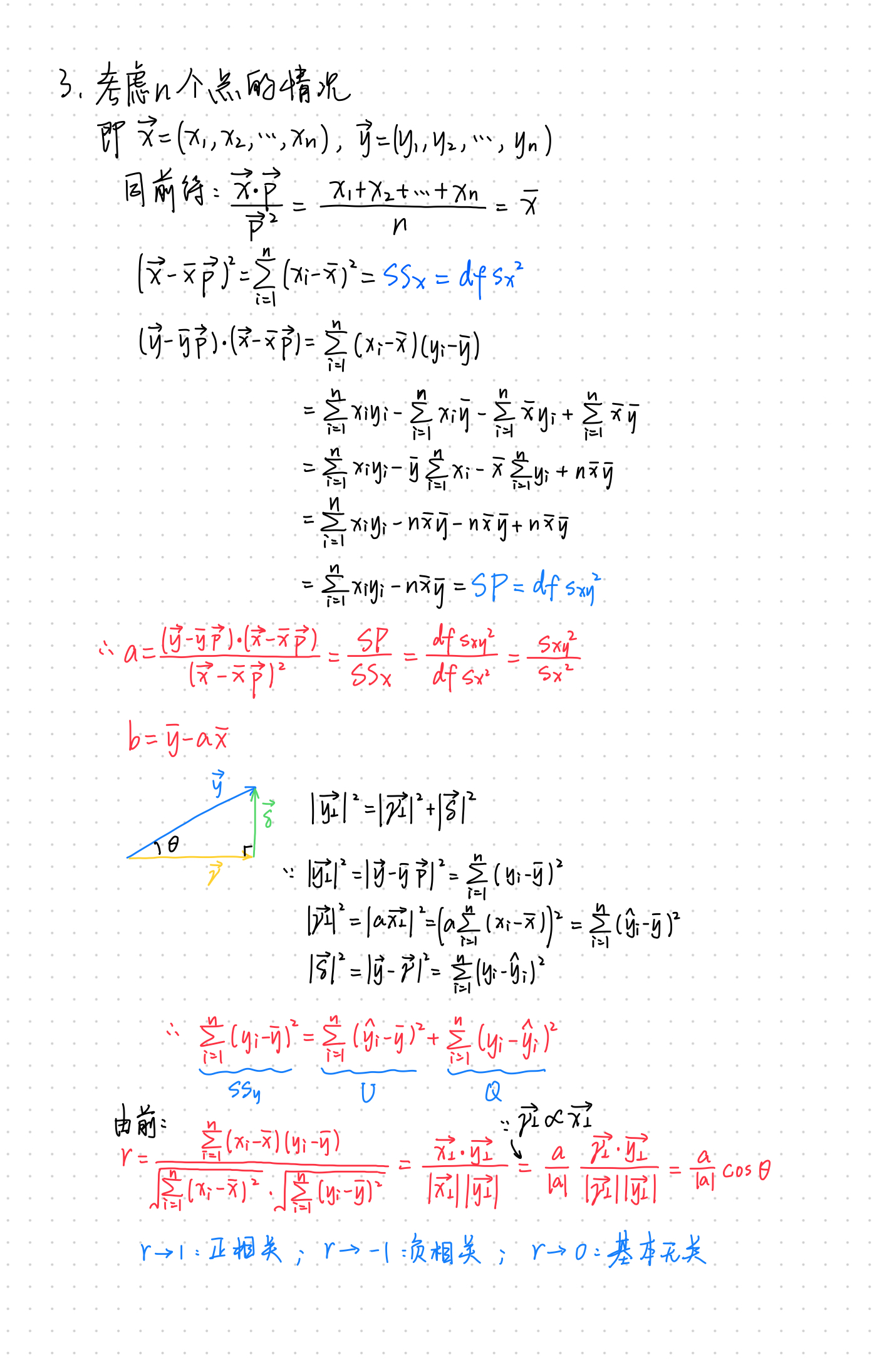
文件:用向量推导最小二乘法(n个点的情况).jpg

来自osm&bio
W. Machine留言 | 贡献2025年8月27日 (三) 15:47的版本
(差异) ←上一版本 | 最后版本 (差异) | 下一版本→ (差异)
原始文件 (1,408 × 2,189像素,文件大小:914 KB,MIME类型:image/jpeg

用向量推导最小二乘法(n个点的情况)

文件历史

点击某个日期/时间查看对应时刻的文件。

日期/时间缩⁠略⁠图大小用户备注
当前2025年8月27日 (三) 15:472025年8月27日 (三) 15:47版本的缩略图1,408 × 2,189​(914 KB)W. Machine留言 | 贡献

以下页面使用本文件: