跳转到内容

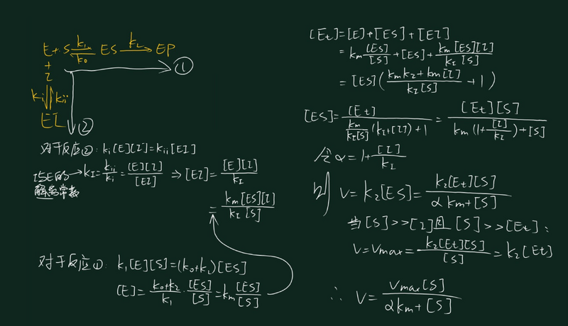
文件:竞争性抑制.png

来自osm&bio
W. Machine留言 | 贡献2025年5月16日 (五) 10:39的版本
(差异) ←上一版本 | 最后版本 (差异) | 下一版本→ (差异)
原始文件 (2,729 × 1,570像素,文件大小:1.65 MB,MIME类型:image/png

竞争性抑制

文件历史

点击某个日期/时间查看对应时刻的文件。

日期/时间缩⁠略⁠图大小用户备注
当前2025年5月16日 (五) 10:382025年5月16日 (五) 10:38版本的缩略图2,729 × 1,570​(1.65 MB)W. Machine留言 | 贡献

以下页面使用本文件: